Tengwar

Die Tengwar sind ein von J. R. R. Tolkien erfundenes Schriftsystem. Sie können wie ein Alphabet im engeren Sinne verwendet werden, aber auch eine Verwendung als Konsonantenschrift ist möglich.
In Tolkiens Werken sind im valinorischen Jahr 1250[1] von Feanor erfunden worden auf der Grundlage von Rúmils Sarati. Eine Reihe von Sprachen aus Tolkiens Welt wird mit ihnen geschrieben, darunter Quenya und Sindarin. Sie können jedoch auch zum Schreiben anderer Sprachen verwendet werden (tatsächlich sind die meisten bekannten Tengwar-Texte von J. R. R. Tolkien auf Englisch geschrieben).
Das Wort tengwar bedeutet ‚Buchstaben‘ oder ‚Zeichen‘ auf Quenya, die Einzahl ist tengwa (in Sindarin têw, Mehrzahl tîw).
Schreibweise
Modi
Um eine spezifische Sprache mit den Tengwar zu schreiben braucht es – genau wie bei jeder anderen Schrift – eine spezifische Orthographie, die von der Phonologie der jeweiligen Sprache abhängt. Im Falle der Tengwar heißen solche Orthographien üblicherweise Modi.
In einigen Modi, den Tehtar-Modi, werden die Vokale mit Diakritika (Tehtar genannt) wiedergegeben; in anderen Modi hingegen, den Vollschrift-Modi, mit normalen Buchstaben. In einigen Modi stehen die ersten vier Buchstaben für /t/, /p/, /k/ und /k_w/, in anderen hingegen für /t/, /p/, /tS/ und /k/. Einige Modi orientieren sich eher an der Aussprache, andere hingegen eher an der traditionellen Orthographie.
Seit der Veröffentlichung der ersten offiziellen Beschreibung der Tengwar im Herrn der Ringe sind von anderen Leuten zahlreiche Tengwar-Modi geschaffen worden für Sprachen wie Spanisch, Deutsch oder Esperanto.
Traditionelle Modi nach Tolkien beinhalten z.B. den klassischen Quenya-Modus, den klassischen Sindarin-Modus ("Modus von Beleriand") und den allgemeinen Modus des dritten Zeitalters.
Zeichen
Die charakteristischste Eigenart der Tengwar ist die gegenseitige Entsprechung von Merkmalen der Form einerseits und Merkmalen der wiedergegebenen Laute andererseits.
Die Primärbuchstaben bestehen aus einer Kombination zweier verschiedener Formen: aus einem Stamm (normal, verlängert oder gekürzt) und einem Bogen (links oder rechts vom Stamm, einfach oder verdoppelt, offen oder geschlossen).
Die Primärbuchstaben sind in vier Spalten angeordnet, die den wichtigsten Artikulationsorten entsprechen, und in sechs Zeilen, die den wichtigsten Artikulationsarten entsprechen. Beide variieren je nach Modus.
Die ersten vier Buchstaben, d.h., die obersten aus jeder Spalte, bestehen aus einem nach unten verlängerten Stamm und aus einem einfachen Bogen. Sie bezeichnen den stimmlosen Verschlusslaut der jeweiligen Spalte. Im klassischen Quenya-Modus sind es t, p, c, qu. Daher heißen die vier Spalten tincotéma, parmatéma, calmatéma und quessetéma (téma heißt 'Spalte/Reihe' auf Quenya).
In den Spalten des 'general-use'-Modus bestehen die folgenden Entsprechungen zwischen Form- und Lautmerkmalen:
- Ein einfacher Bogen bildet einen stimmlosen Laut.
- Eine Verdoppelung des Bogens bildet einen stimmhaften Laut.
- Eine Verlängerung des Stamms nach oben bildet einen Frikativ (= Reibelaut).
- Eine Verlängerung des Stamms nach unten bildet einen Plosiv (= Verschlusslaut).
- Eine Verkürzung des Stamms bildet einen Nasallaut. Tengwar mit verkürztem Stamm und einfachem Bogen stehen allerdings in den meisten Modi nicht für stimmlose Nasale, sondern für Approximanten (= Näherungslaute; Vokale und die Konsonanten, bei denen kein Reibe- oder Verschlusslaut entsteht).
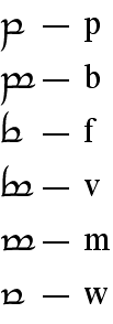
Hier ist ein Beispiel aus der parmatéma (diejenigen Zeichen mit geschlossenem Bogen rechts) im 'general use':

- Der erste Buchstabe steht für [p].
- Mit verdoppeltem Bogen steht er für [b].
- Mit nach oben verlängertem Stamm für [f].
- Mit nach oben verlängertem Stamm und verdoppeltem Bogen für [v] (deutsches w).
- Mit verkürztem Stamm und verdoppeltem Bogen für [m].
- Mit verkürztem Stamm und einfachem Bogen für [w] (konsonantisches u wie in Bauer).
Im klassischen Quenya-Modus werden einige Zeilen anders belegt:
- Der Buchstabe mit nach unten verlängertem Stamm und verdoppeltem Bogen steht für [mb].
- Mit nach oben verlängertem Stamm und verdoppeltem Bogen für [mp].
Neben den Primärbuchstaben gibt es die zusätzlichen Buchstaben, die keine regelhaften Formen haben. Sie bezeichnen z.B. die Laute /r/, /l/ und /h/. Der Gebrauch der zusätzlichen Buchstaben variiert stark von Modus zu Modus.
Tengwar-Fonts für den Computer
Es sind verschiedene Tengwar-Fonts (Schriftdateien) für den Computer geschaffen worden. Bei der Verwendung dieser Fonts ist zu beachten, dass den Buchstaben auf der Tastatur normalerweise nicht die entsprechenden Tengwar zugeordnet sind. Um z. B. das Tengwa für t zu erhalten, muss 1 gedrückt werden, um das Tengwa für m zu erhalten, ist die Taste für t zu drücken.
Das liegt daran, dass eine direkte Zuordnung Tengwa – lateinischer Buchstabe in vielen Fällen – abhängig vom Modus – nicht möglich ist. Deshalb wurde die Tengwar-Tabelle auf die Tastatur projiziert, was zu einer relativ willkürlichen Zuordnung der Tengwar zu den Tasten führt.
Da viele Tengwar-Unkundige aber meinen, man könne einen Text im Computer normal schreiben, dann markieren und in eine Tengwar-Schriftart umwandeln, entstand und entsteht im Internet, auf Schmuckstücken und leider auch als Tattoos viel sinnloser Tengwar-Zeichensalat.
Wer sich mit dem Schreiben von Tengwar auf dem Computer beschäftigen möchte, muss sich unbedingt die Tastatur-Belegungstabelle besorgen. Gute Seiten, die Tengwar-Fonts zum Download anbieten, bieten diese Tabellen zusammen mit dem Font zum herunterladen an.
| richtig | falsch | |
|---|---|---|
| Eingabe | 6E2qE2$`B`C | Ardapedia |
| Ergebnis | ||
| Bedeutung | ‚Ardapedia‘ | ‚schvschntschfschstsch‘ |
Wer die Schrift an sich nicht beherrscht, benötigt daneben natürlich noch eine Tabelle, wo er nachsehen kann, welches Tengwa für welchen lateinischen Buchstaben steht.
Sonstiges
Andere von Tolkien geschaffene Schriften sind die Cirth, die Sarati, die valinorische Schrift und das New English Alphabet.
Indizes
Es gibt zwei Indizes, in denen die von J. R. R. Tolkien in Tengwar geschriebenen Texte aufgeführt sind:
- The Mellonath Daeron Index of Tengwar Specimina (DTS) wird von Mellonath Daeron, der Sprachenvereinigung der schwedischen Tolkiengesellschaft Forodrim, unterhalten. Hier werden die von Tolkien in Tengwar geschriebenen Texte aufgelistet und beschrieben.
- Im Index of Significant Samples (ISS) gibt Chris McKay die Texte geschrieben in Tengwar sowie transkribiert in lateinischer Schrift wieder.
Weblinks
- Mellonath Daeron Index of Tengwar Specimina (englisch)
- Index of Significant Samples (englisch)
- Tengwar und ihre Verwendung
- Amanye Tenceli -- The Writing Systems of Aman (englisch)
- http://www.geocities.com/TimesSquare/4948/tengwar/ (englisch)
- http://www.omniglot.com/writing/tengwar.htm (englisch)
Modi
- orthografischer deutscher Vollschrift-Tengwarmodus (besonders einfach, dafür aber streng nach Tolkiens Vorbild), phonologischer deutscher Tehtarmodus (komplizierter, ferner gehen beispielsweise die Umlautzeichen nicht auf Tolkien zurück), halborthografischer-halbphonologischer deutscher Tehtarmodus (verschiedene willkürliche Abweichungen von Tolkiens Vorbild, beispielsweise die Mischung aus orthografischer und phonologischer Schreibung, der Gebrauch von Vilya, die Bevorzugung von Silme nuquerna und die Zeichen für die Umlaute)
- Spanisch
- Esperanto und Lojban
Quellen
- ↑ History of Middle-Earth, Band 10, Annals of Aman.
| Diese Seite basiert auf der Seite Sprachen_und_Schriften_in_Tolkiens_Welt aus der freien Enzyklopädie Wikipedia und steht unter der Creative Commons Attribution/Share-Alike-Lizenz. In der Wikipedia ist eine Liste der Autoren verfügbar. |
